4.8. Второе поколение смертельных ОВ (ФОВ)

Боевая «эффективность» ОВ нервно-паралитического действия очевидна. Считается, что одного кг этого ОВ достаточно, чтобы вызвать смерть миллиона человек [752]. Попытки использования в Красной армии нервно-паралитических ОВ предпринимались очень давно. Во всяком случае, еще в плане Химкома при РВС СССР на 1924–1925 гг. значились лабораторные изыскания по поиску ОВ, «действующего на центральную нервную систему». Однако до практических дел дошло лишь в послевоенное время, да и то не без опыта специалистов Германии. Исторически этот советский поворот восходит к событию 23 декабря 1936 г. в Германии. В тот день химик Г. Шрадер (Gerhard Schrader) синтезировал табун — ФОВ, которое на деле оказалось, по существу, первым ОВ второго поколения. Потом в Германии были найдены еще более мощные ФОВ — зарин и зоман. И Советская армия решила наполнять свои химические закрома этими средствами нападения. Мысли советских военных насчет привлекательности этих ФОВ были вписаны в документ, который определял развитие советской экономики на 1946–1950 гг.: «эти новые вещества являются весьма ценным новым классом ОВ, которые по своим физико-химическим свойствам являются стойкими, однако по методам применения могут быть квалифицированы как нестойкие» [432].

Действительно, новые ФОВ обладают несколькими принципиальными особенностями. Во-первых, они способны специфически нарушать нормальное функционирование нервной системы людей с появлением судорог, переходящих в паралич. Во-вторых, ФОВ вызывают поражение через кожу, а не только через органы дыхания. В-третьих, ФОВ имеют физико-химические характеристики, которые благоприятны при боевом использовании, — они представляют собой жидкости с очень низкими температурами замерзания и достаточно высокими температурами кипения. И, в-четвертых, эти вещества обладают высокой стабильностью и хранимостью, а также допускают диспергирование с помощью взрывчатых веществ, термической возгонки и распыления из различных устройств. С точки зрения боевого применения два ФОВ обладают стойкостью — зоман оказался СОВ, сравнимым по этому свойству с люизитом, а V-газ как СОВ значительно превысил стойкость обычного серного иприта.

В Советском Союзе послевоенный промышленный выпуск ФОВ нервно-паралитического действия связан с деятельностью двух химических заводов — завода № 91 в Сталинграде (Волгограде) и вновь построенного в 60–70-х гг. химкомбината в Новочебоксарске (Чувашия). Экспериментальные партии ФОВ выпускали не только опытный цех завода № 91, но также опытные заводы ГСНИИОХТа (Москва) и его филиала в Вольске (Саратовская обл.).

Однако до промышленного выпуска дело доходило не всегда.

Синтезированный в 1936 г. в Германии табун (XXII) — этиловый эфир диметиламида цианфосфиновой кислоты — поначалу рассматривали как пестицид. Однако в результате токсикологических исследований проф. Вирта он вскоре был переведен в разряд первого ОВ второго поколения, поражающего центральную нервную систему и действующего как через органы дыхания, так и через незащищенную кожу [753]. Завод «Аноргана Верк ГМБХ» по производству табуна мощностью 1000 т в месяц, а также по его снаряжению в химические боеприпасы был построен в 1939–1942 гг. в Дихернфурте-на-Одере близ Бреслау (ныне Бжег-Дольны близ Вроцлава) [10]. Тот завод был обнаружен Советской армией в начале 1945 г., и все его технологическое оборудование было немедленно перевезено на завод № 91 (Сталинград) в надежде организовать собственное производство [428]. Однако оно так организовано и не было — увлеклись зарином.

Табун (XXII)

Табун (шифр армии США — GА, шифр армии Германии — Tabun, Trilon 83) — бесцветная жидкость с приятным фруктовым запахом. Затвердевает при низкой температуре (–48 °). Поражает центральную нервную систему и действует как через органы дыхания, так и через незащищенную кожу Смертельная концентрация 0,3 мг/л при экспозиции 1 мин. Попадание на кожу 50–70 мг/кг капельно-жидкого табуна приводит к смертельному отравлению. Медленно гидролизуется водой. Гидролиз ускоряется в щелочной среде. Продукты гидролиза токсичны [6].

В Советском Союзе синтез табуна был осуществлен полковником К. А. Петровым (ВАХЗ им. Ворошилова) в конце войны после получения первых данных о новом секретном ОВ Германии (gelan, trilon 83) [753]. Впоследствии им были синтезированы родственные соединения с большей, чем у табуна, токсичностью [754]. Трофейный табун был поставлен на вооружение вскоре после войны и прошел в армии боевые испытания во всех видах боеприпасов. Во всяком случае, еще в 1950 г. был издан даже специальный приказ по ХИМУПРу за № 0079, касающийся лечения пораженных табуном. Однако промышленность получала задания на выпуск иных ФОВ, более «эффективных».

Идея использования в военных целях зарина (XXIII) — фторангидрида изопропилового эфира метилфосфоновой кислоты, — который по ингаляционной токсичности примерно в пять раз превысил табун, также возникла в Германии [7, 10]. Она была материализована на заводе «Аноргана Верк ГМБХ» в Дихернфурте-на-Одере в виде опытной установки, хотя монтаж основного оборудования заринового цеха к моменту захвата завода Красной армией (вместе с оборудованием) закончен не был [428]. Тогда же, в годы войны, благодаря разведчикам, эта идея перекочевала в Советский Союз. Первоначально события развивались благоприятно. В конце 1943 г. зарин был синтезирован группой академика А. Е. Арбузова (Казань) [202] — крупнейшего советского специалиста в области химии фосфорорганических соединений [34, 725].

Зарин (XXIII)

Зарин (шифр армии США — GB, армии Германии — Sarin, Gelan III, Trilon-144, T-46, T114, Советской/Российской армии — Р-35) — бесцветная прозрачная жидкость без запаха, технический зарин — со слабым фруктовым запахом. Смешивается с водой и органическими растворителями в любых соотношениях. Затвердевает при очень низкой температуре (–57 °C). Обладает высокой летучестью (максимальная концентрация паров при 20 °C составляет 11,3 мг/л). Медленно гидролизуется водой. Легко сорбируется пористыми материалами, впитывается в окрашенные поверхности, резину. Одно из основных ОВ армий России и США. Средства боевого применения: авиационные химические бомбы и кассеты, боевые части ракет, химические снаряды ствольной и реактивной артиллерии. Предназначается главным образом для заражения приземного слоя воздуха. Уничтожает живую силу. При благоприятных метеорологических условиях зарин сохраняется летом на местности в жидком виде 4–5 часов, а его пары могут быть эффективными через 20 часов. В зимних условиях устойчив на местности до двух суток. Отравляет при любом способе проникновения в организм: вдыхании пара, всасывании жидкого или парообразного вещества через неповрежденную или поврежденную кожу и слизистые оболочки глаз, приеме зараженной воды и пищи, контакте с поверхностями. Смертельная концентрация — около 0,2 мг/л при минутной экспозиции. В капельно-жидком виде вызывает общее отравление через кожу [7, 8, 607].

В США, которым досталась полная техническая документация Германии на производство зарина, не только ее усовершенствовали, но и пустили в 1952 г. на территории военного арсенала Роки Маунтин возле г. Денвер (штат Колорадо) завод по промышленному выпуску зарина [6, 7]. Мощность — 2,5 тыс. т/год, к 1957 г. было произведено примерно 13 тыс. т [752]. В Великобритании выпуск зарина был организован в 1954 г., а в 1956 г. он был прекращен (с тех пор эта страна вообще не производила ОВ в промышленных масштабах) [10].

Советская история зарина тоже была наполнена множеством событий.

В феврале 1945 г. (то есть через две недели после того, как советские разведчики нашли в Дихернфурте-на-Одере на немецком заводе записную книжку с формулами производившихся там ФОВ — табуна и зарина [428]) М. И. Кабачник в секретном подполье писал о своих заслугах по линии ФОВ, что именно им будто бы «разработаны простые препаративные методы синтеза, которые легко могут быть положены в основу технологических рецептур» [202]. «Методы» М. И. Кабачника Родине не пригодились, потому что это была ложь: специалист из ГСНИИ-42, который по должности был обязан создавать технологию производства зарина, той же весной 1945 г. констатировал, что «разработать технологический рецепт, пригодный для осуществления его даже в полузаводском масштабе, ГСНИИ-42 не удалось» [428]. В свое время советский химический генерал И. Л. Кнунянц, знаток фторорганических соединений, расхваливая создателей советского способа получения зарина, указывал, что ФОВ будто бы «являются всеобщим достоянием всех культурных передовых стран» [755]. На самом деле в СССР, которому от Германии достались оборудование, а из документации лишь химическая формула зарина, имелись только пустопорожние обещания сталинского лауреата М. И. Кабачника [202].

Что касается немецких технических лекал, то они оказались не по зубам советской промышленности [756]. Немецкий способ получения зарина включал четыре стадии, причем вторая стадия проводилась в железной аппаратуре (это была так называемая реакция А. Е. Арбузова, касающаяся образования химической связи C-P и открытая им еще в 1906 г.), третья — в свинцовой, а четвертая — в аппаратуре из чистого серебра [9]. Воспроизвести последнюю стадию немецкого способа получения зарина (ту, что осуществляется в аппаратуре из серебра) наша промышленность, как ни пыталась, так и не смогла. В тексте, подготовленном на соискание Ленинской премии 1960 г., наши скромные советские авторы указали, однако, совсем другие причины. Их смущали такие операции, как «фильтрование бензольных растворов конечного продукта от смеси твердых солей и отгонка больших количеств растворителя». А еще их смущала «сложность аппаратурно-технологического оформления». В общем, четвертая стадия немецкого процесса в Советском Союзе была разбита на две, причем ни одна из них уже не требовала аппаратуры из чистого серебра [726]. Таким образом, полномасштабный выпуск зарина удалось наладить в СССР лишь в 1959 г. — на своем оборудовании и по совсем иной технологии [158, 726].

Обращаясь к боевому применению зарина, отметим, что с учетом его физико-химических и токсикологических характеристик военные предпочитали планировать его применение в осколочно-химических боеприпасах, снабженных взрывателем ударного действия, — авиабомбах, артснарядах, минах. При разрыве корпуса боеприпаса происходит дробление ОВ с образованием облака пара или аэрозоля, частицы которого в теплые дни превращаются в пар. Облако зарина перемещается по ветру, вызывая в течение нескольких часов отравление живой силы в районе очага поражения. Таким образом, с военной точки зрения, зарин предпочтителен в случаях, когда нужно добиться немедленного эффекта (вывода из строя или уничтожения живой силы) и избежать трудностей при последующих действиях своих войск на захваченной территории (отсутствие стойкости) [8].

В Советском Союзе зарином поначалу снаряжали снаряды ствольной артиллерии АХС-85 (были сняты с вооружения в 1961 г.) и АХС-122, снаряды реактивной артиллерии, авиахимбомбы ОХАБ-250-135П. А в постановлении ЦК КПСС и СМ СССР от 16 июля 1969 г. [119] фигурировали 122 мм химснаряды к гаубицам М-30 и Д-30, 152 мм снаряды к пушкам МЛ-20, авиахимбомбы ХАБ-250М-62П, реактивные снаряды МС-21М. От тех времен ныне на российских складах остались запасы артснарядов с зарином калибра 85 мм, 122 мм, 130 мм и 152 мм, головные части реактивных снарядов калибра 122 мм, 140 мм и 240 мм, а также один вид авиахимбомб калибра 250 кг.

В США с зарином связывают прискорбный «зариновый» эпизод, настолько прискорбный, что о нем общественному мнению США пока знать не положено.

Война во Вьетнаме:

«Эйджент оранж» — вьетнамцам, зарин — своим

Попытка свободы слова (1998 г.):

«Sunday, June 7, 1998. Washington (Reuters). — Американские военные использовали смертельный нервный газ во время войны во Вьетнаме, избрав мишенью американских невозвращенцев в сельском базовом лагере в Лаосе, — сообщили CNN и журнал „Тайм“ в совместном воскресном сообщении.

Адмирал Томас Мурер, бывший председатель Объединенного комитета начальников штабов, подтвердил, что нервный газ зарин использовался в 1970 г. в секретном рейде в Лаос под названием операция „Попутный ветер“. Капитан Евгений Маккарли, командовавший рейдом, сообщил, что „свыше 100“ человек погибло в этом набеге, включая женщин и детей. По оценке командира взвода лейтенанта Роберта Ван Бускирка, было убито до 20 американских военных невозвращенцев.

Пентагон сообщил, что результаты их собственного исследования не указывают на то, что нервный газ использовался во вьетнамской войне…

В сообщении, которое появилось в выпуске журнала „Тайм“ в понедельник, говорится, что прежде Соединенные Штаты не допускали использования зарина в боевых действиях… Мурер сообщил о программе группы национальной безопасности Белого дома президента Ричарда Никсона, которая допускала использование нервного газа и за которую частичную ответственность несло ЦРУ. Он сказал, что высказывается сейчас из-за его уважения к истории.

Сообщение цитирует военных должностных лиц и солдат, принимавших участие больше чем в 20 рейдах в Лаос и в Северный Вьетнам, в которых был использован зарин.

В год операции „Попутный ветер“ Никсон провозглашал политику неиспользования нервных газов первыми как часть обязательств по Женевскому протоколу (который ограничивал использование химического оружия), а сенат не соглашался на договор о химическом оружии.

Ван Бускирк сказал, что он имел приказ уничтожать любого, включая американских невозвращенцев. „Было достаточно ясно, что если вы натолкнулись на невозвращенца и не сомневались в этом, необходимо было поступать именно так. При любых обстоятельствах убивать их“, — сказал он. „Речь шла не об их возвращении, а об уничтожении“. Солдаты, которые приняли участие в секретной операции „Попутный ветер“ в сентябре 1970 г. (углубившись на 60 миль на территорию Лаоса), состояли в группе изучения и наблюдения, SOG, которая проводила операции против необычных мишеней с использованием необычного оружия.

Ван Бускирк сказал, что перед рейдом полковник ВВС предупредил его о смертельном газе и о том, чтобы его солдаты применяли противогазы M-17, разработанные для защиты от нервного газа. Коммандос SOG был также выдан атропин — противоядие против нервного газа. Один из солдат, участвовавших в операции, Джим Кати, сказал, что он в течение пяти часов близко наблюдал сельский лагерь и видел 10–15 кавказцев. „Я полагаю, что это были американские невозвращенцы, потому что мы НЕ имели никаких ограничений“ — сказал он. „Оглядываясь назад, я полагаю, что задание состояло в том, чтобы уничтожить их“, поскольку невозвращенцы были известны — они были более высокими, чем жители Лаоса и Вьетнама.

В интервью Мурер подтвердил, что мишенью операции „Попутный ветер“ были именно жившие в деревне невозвращенцы. Он указал, что в течение войны множество американских военных дезертировали, хотя и не сделал никаких оценок. В операции „Попутный ветер“ американские самолеты, пролетая над сельским лагерем, сбросили на него смертельный нервный газ. На следующее утро коммандос SOG вошли туда и, по словам сержанта Майка Хагена, „разрушили там практически все“».

После отказа от свободы слова (2001 г.):

«Пять журналистов CNN раскопали историю о том, что во времена вьетнамской войны, как в любой другой армии, американские солдаты дезертировали с передовой, убегали через границу Вьетнама в Лаос и там создавали коммуны и жили. Так вот, когда американская армия, проиграв войну, уходила из Вьетнама, американцы послали туда бомбардировщики, и эти коммуны разбомбили с помощью зарина — химического оружия. Всех этих солдатиков-дезертиров уничтожили, и про это был снят фильм, с показаниями свидетелей. Этот фильм готовился на экраны телевизоров в Америке по каналу CNN. Товарищ Колин Пауэлл, будучи тогда во главе комитета начальников штабов Соединенных Штатов Америки, позвонил своему другу Теду Тернеру. Тед Тернер мало того что снял с эфира эту программу… но еще и уволил всех этих журналистов, а чтобы они не вопили, заплатил каждому отпускнику по миллиону долларов…»

А. Р. Кох, «Новое время», Москва, № 16, 2001 г.

Что касается широкой российской общественности, то для нее зарин, как правило, ассоциируется с Японией.

На самом деле в Японии случилось не одно, а два зариновых события. Первое произошло 27 июня 1994 г. и не привлекло внимания не только мирового сообщества, но даже полиции Японии. В тот день боевики религиозной секты «Аум Синрикё» распылили зарин в городе Мацумото (префектура Нагано) — погибло семь человек, а всего пострадало около 600 человек. Автор настоящей книги в интервью одному из японских TV-каналов высказал предположение, что по всем признакам в тот раз зарин был применен как бы «в учебном порядке» (террористы проверяли свое новое оружие в деле), и интервью было показано по японскому телевидению. А вот вялое полицейское расследование, по существу, закончилось ничем, и именно это обстоятельство, скорее всего, спровоцировало переход секты от учебы к серьезному химическому наступлению.

Второе химическое преступление секты «Аум Синрикё» случилось 20 марта 1995 г. В тот день зарин был одновременно распылен на 5 линиях токийского метро между 7:46 и 8:01 утра. Всего от отравления погибло 13 человек, а около 6000 получили поражения различной степени тяжести. В своей террористической деятельности помимо зарина секта использовала также V-газ.

Вторая «зариновая атака» не могла не всполошить мировое сообщество, в особенности в плане возможного использования ОВ в новой ипостаси — для осуществления актов химического терроризма. Отозвались и в нашей стране.

Из филиппик генерала А. Д. Кунцевича:

«Я и в прошлом году, и сейчас предлагал японскому правительству создать международную комиссию для серьезного расследования случаев применения боевых ОВ против мирного населения. Предложил опубликовать в печати результаты проведенных анализов, истории болезней… Но руководство Японии никак не отреагировало на мое предложение. Отсутствие официальной гласности в столь деликатном деле, каким является трагедия с применением химического оружия, и создает почву для различных политических спекуляций, а главное, не может стать гарантией неповторения подобной беды» [30].

Благородному негодованию советского химического генерала по поводу отсутствия официальной гласности в Японии не было бы цены, если бы оно было направлено на решение задач собственной страны: 1) в серьезном независимом расследовании случаев воздействия боевых ОВ на здоровье жителей России и всего бывшего Советского Союза; 2) в налаживании официальной гласности в отношении аварий и катастроф на производствах химоружия Советского Союза; 3) в расследовании случаев испытания химоружия на советских гражданах, в изучении территорий, серьезно загрязненных в результате производства, испытания, неадекватного хранения и ненадлежащего уничтожения химоружия и т. д. И все это — для неповторения подобных бед в России.

Из газеты:

«Один наш не в меру прыткий химик начал активно навязывать себя японцам. Мы понимаем, что когда наш генерал руководил испытаниями ОВ на живых людях на полигоне в Шиханах, опытов для полноты научной картины не хватило. Однако трудно понять, какой смысл японцам передавать нашему генералу свои новые токсикологические данные — американцы ведь тоже тоскуют из-за недостатка опытов на людях. Неприглашенный генерал мог бы найти себя на родине — рабочие Волгограда тоже пострадали от зарина, а ни одно медицинское светило не хочет признать самого факта хронического отравления этих людей малыми дозами ОВ. Может, генерал поможет?» [51]

Идея применения для достижения военных целей зомана (XXIV) — фторангидрида пинаколилового эфира метилфосфоновой кислоты, — который примерно в три раза токсичнее зарина, также известна еще с 40-х гг., и ее источником также оказалась Германия [7,10].

Зоман (XXIV)

Зоман (шифр армии США — GD, армии Германии — Soman, Trilon, Советской/Российской армии — Р-55) — бесцветная жидкость, промышленный продукт имеет желто-коричневый цвет с запахом камфары. Температура затвердевания –80 °C. Очень медленно гидролизуется водой. Впитываемость в пористые материалы выше, чем у зарина. Хорошо хранится в металлической таре. Максимальная концентрация паров при 20 °C составляет 3 мг/л. Пары зомана в 6 раз тяжелее воздуха. Стойкость на местности в летних условиях при капельно-жидком заражении — сутки и более. В воде гидролизуется медленно. Средства боевого применения — авиабомбы, ВАПы, снаряды ствольной артиллерии. Проникает в организм через органы дыхания, кожные покровы, конъюнктивы глаз. Поражение достигается заражением атмосферы тонкодисперсным аэрозолем или паром. Смертельная концентрация — около 0,02 мг/л при экспозиции 1 мин. Безопасная концентрация — ниже 5?10?7 мг/л. При действии на кожу в капельно-жидком и парообразном состоянии вызывает общее отравление (токсодоза LD50 — 1,4 мг/кг). Кумулятивные свойства зомана выражены сильнее, чем у зарина [7, 8, 607].

Для организации выпуска зомана необходимо налаживание производства пинаколилового спирта (3,3-диметилбутанола-2). В свою очередь, пинаколиловый спирт получают обычно из ацетона через пинакон и пинаколин, вследствие чего само массовое промышленное производство зомана становится экономически бессмысленным [7, 9]. В США на эту бессмыслицу не пошли и производить зоман не стали [724], хотя по чисто прагматическим соображениям и научились. Причина — «нерентабельность получения чистого пинаколилового спирта» [6]. По той же причине не стали производить зоман и англичане [36]. А в Советском Союзе множество лет потратили на организацию производства пинаколилового спирта в Волгограде на заводе № 91 [721]. К промышленному выпуску зомана приступили на том же заводе в 1967 г. Половина объема советского выпуска зомана приходилась обычно на его вязкую форму, предназначавшуюся для снаряжения авиахимбомб. Частично зоман отправлялся из Волгограда в Новочебоксарск (Чувашия) для снаряжения в кассетные и иные химические боеприпасы.

До появления V-газов зоман рассматривался в качестве универсального ОВ, пригодного для заражения атмосферы парами или аэрозолями с целью нанесения людям ингаляционных поражений и поражения людей каплями через кожу. Этими соображениями определялись и типы снаряжаемых зоманом и его вязкой рецептурой артиллерийских и авиационных химических боеприпасов. Например, до наших дней дошли серьезные запасы химснарядов ствольной артиллерии калибра 122 мм и 152 мм, а также химические головные части снарядов реактивной артиллерии для установок «Град» и «Ураган» (калибр 122 мм и 220 мм). Зоманом снаряжали кассетные боеприпасы ракет, например, химическую головную часть ракеты поля боя «Точка-У» (SS-21). Зоманом и его вязкой рецептурой снаряжали также немалую номенклатуру авиахимбоеприпасов, в частности авиахимбомбы БКФ-П кассетного типа. Среди авиахимбоеприпасов с вязким зоманом до наших дней дожили немалые партии авиахимбомб калибра 150 кг и 250 кг, а также ВАПов калибра 500 кг.

Начать обсуждение ФОВ класса V-газов удобнее всего с события 1952 г. в Англии. В тот год на фирме ICI было создано и передано в США на испытания еще более токсичное ФОВ класса фосфорилтиохолинов. Потом было синтезировано немало других ОВ этого вида. Все вновь созданные ОВ действуют на фермент ацетилхолинэстеразу и включают фосфаты и главным образом фосфонаты общей формулы R-P(O)(OR’1)[SCH2CH2NR’’2] (где R — это алкильная или алкоксигруппа, а R’ и R’’ — алкильная группа). В США ФОВ этого вида получили название V-газов. При R’=C2H5 — это вещества VE, VG, VM, VS, VX7.

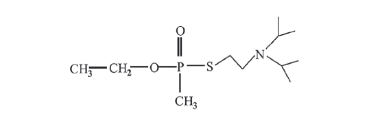
Советский V-газ (XXV)

Американский VX (XXVI)

Американское ОВ VX (XXVI) оказалось примерно в 10 раз токсичнее, чем зарин, при ингаляции и, что самое главное, обладает высокой токсичностью в сравнении с зарином и зоманом при накожной аппликации [8]. Этот западный успех был отслежен советской разведкой, добывшей исходную информацию о веществе VM. Соответственно, в СССР были исследованы многочисленные вещества этого вида (в целом 350 веществ 19 типов) [716]. Некоторые из них приведены в табл. 12.

Табл. 11. Токсикологические характеристики V-газов, исследованных в Советском Союзе в конце 1950 гг. [716]

В США выпуск VX (XXVI) был налажен на военном заводе в Ньюпорте (штат Индиана) в 1961 г., и закончился он в 1968 г. [7, 757]. Было произведено примерно 5000 т этого ФОВ [36, 752].

В СССР по ряду причин, скорее всего технологических, исследователи не стали целиком воспроизводить американский газ VX, а остановились на ОВ с той же брутто-формулой, но несколько иным строением, что, впрочем, никак не сказалось на его токсических характеристиках. Это был советский V-газ (XXV) — S-диэтиламиноэтил-O-изобутилметилфосфонат, — и именно он впоследствии составил основу советского химического арсенала. По токсическим свойствам советский V-газ (верхняя строка табл. 11) превосходил все известные до тех пор ОВ. А по военно-химическим параметрам продукт «60» (так его окрестили наши военные, потом они стали называть его Р-33) относился к классу СОВ — стойкость на местности и на различных поверхностях сохранялась у советского V-газа в течение нескольких дней, а при заражении водоемов — несколько месяцев.

Поначалу события развивались очень быстро. Новое ФОВ было получено в 1957 г. в московском ГСНИИ-403, и в 1959 г. там же были наработаны в лабораторных условиях 10 кг для проведения военных испытаний в ЦНИВТИ [158]. И уже летом 1959 г. химический завод № 91 в Волгограде получил задание на создание в цехе № 22 опытной установки по выпуску советского V-газа. И в первом полугодии следующего года его первая тонна была произведена [159, 446].

Для советских граждан август 1960 г. был памятен тем, что в космос отправились первые космические путники — дворняжки Белка и Стрелка (никто им не рассказывал, что две обезьяны-шимпанзе Авель и Бейкер еще 28 мая 1959 г. отправились в космос из США и благополучно вернулись домой на Землю). А для всего мира сентябрь 1960 г. памятен самой длинной речью (4 часа 29 минут), которую руководитель Кубы Фидель Кастро произнес в ООН. Для историков кино важно и то, что в декабре 1960 г. был утвержден авторский коллектив фильма Л. Гайдая «Пес Барбос и необычный кросс» — так родилась знаменитая кинотройка Балбес — Трус — Бывалый (Никулин — Вицин — Моргунов). А между тем именно летом того 1960 г. химические войска впервые испытали советский V-газ. И не только испытали в арт- и авиабоеприпасах, но и дали восторженные отзывы (это ОВ «по своей эффективности в значительной степени превосходит все известные отравляющие вещества и является наиболее перспективным для его применения в химических боеприпасах») [446]. И для ВХК токсикологические данные, полученные к тому времени [203, 716], оказались важным событием (важным и для страны, хотя она об этом не знала).

Табл. 12. Сравнение токсикологических характеристик зомана и советского V-газа по состоянию на 1960 г. (в мг/кг) [716]

Следует подчеркнуть, что токсикологические данные, которые собраны в табл. 12, в 1959–1960 гг. легли на рабочие столы руководящих деятелей ВХК. И данные эти должны были побудить их принять стратегическое решение. Действительно, как оказалось, советский V-газ «превосходит зоман по внутривенной токсичности в два раза, по ингаляционной — в 20 раз, при действии через обнаженную кожу паров и тумана — в 150 раз, при действии в капельно-жидком состоянии через обнаженную кожу — в 350 раз». Таким образом, надо было принять решение, а стоит ли заставлять промышленность организовывать производство двух однотипных ФОВ, являющихся СОВ, при условии, что одно из них много эффективнее другого. В общем, советский химический генералитет захотел обладать обоими ОВ, хотя смысла в обладании зоманом уже не было.

V-газы

Вещество VX в США и советский V-газ имеют общую брутто-формулу и несколько различное строение

Это основные ОВ армий России и США.

Маслянистые высококипящие жидкости, не перегоняющиеся при атмосферном давлении. Имеют малую упругость паров. Не требуют особых условий хранения, кроме герметизации емкостей. Хорошо растворимы в воде. Очень устойчивы к действию воды (полный гидролиз в нейтральной среде при комнатной температуре может длиться годами). Заражение водоемов сохраняется в течение многих месяцев. В щелочной среде гидролиз серьезно ускоряется, в кислой — незначительно. Утверждение [7], что продукты гидролиза V-газов нетоксичны, ложно. Один из продуктов гидролиза высоко токсичен и устойчив в окружающей среде (выход — примерно 15 %).

Проникают в организм через кожные покровы, слизистые оболочки глаз, носа и верхних дыхательных путей, а также через ткань одежды. Действуют на ацетилхолинэстеразу. Скрытый период действия — от нескольких минут до 4–6 часов. Обладают кумулятивными свойствами. Смертельное поражение ФОВ типа V-газов достигается ничтожными концентрациями паров, туманов при небольших плотностях заражения. Проникновение через кожу усиливается при использовании диметилсульфоксида и аналогичных растворителей.

Советский V-газ (S-диэтиламиноэтил-O-изобутилметилфосфонат, шифр советской/российской армии — Р-33). Технический продукт — жидкость от светло-желтого до темно-коричневого цвета. Замерзает (стеклуется) при –76 °. Свойства при 20 °:

давление паров — 2,13.10–4 мм рт. ст.,

вязкость — (9–11) сп,

плотность — 0,995–1,020 г/см3.

Пороговая доза для людей при попадании на незащищенную кожу составляет 0,003 мг/кг. При вдыхании паров концентрация 0,000014 мг?мин/л вызывает начальные признаки интоксикации (миоз, загрудный эффект).

По острой токсичности советский V-газ превосходит зоман при внутривенном введении в 2–3 раза, при ингаляционном воздействии — в 20 раз, при кожно-резорбтивной аппликации — примерно в 350 раз.

Чтобы понять уровень бессмысленности решения советского ВХК времен 1959–1960 гг., отметим, что в армии США выбор был сделан. И в США производить зоман не стали, зато выпуск VX наладили уже в 1961 г. [7, 724]. А вот советским химическим генералам захотелось быть впереди планеты всей: выпуск зомана на заводе в Сталинграде удалось наладить лишь в 1967 г. [721], а промышленный выпуск советского V-газа в Новочебоксарске — в 1972 г. Осталось напомнить, что все послевоенные годы, вплоть до 1965 г., химические войска возглавлял генерал И. Ф. Чухнов [32]. Вряд ли он задумывался о цене своих стратегически не осмысленных и экономически разорительных решений.

Дальше дошла очередь до тактической ракеты «Луна-М» (FROG-7B) с химической боевой частью, наполнение которой было запланировано в Москве и Сталинграде [758]. Впрочем, первая опытная установка по производству V-газа, которая действовала на заводе № 91, не могла масштабироваться в большой цех. И в январе 1963 г. задание на создание двух опытных установок для отработки технологического процесса выпуска и наработки опытных партий советского V-газа получили обе организации — институт ГСНИИ-403 в Москве и химзавод № 91 в Волгограде [436]. И к осени процесс был отработан, что позволило в январе 1964 г. издать постановление ЦК КПСС и СМ СССР о переориентации строившегося в Новочебоксарске (Чувашия) химкомбината [438]. Вместо зарина и зомана, выпуск которых планировался исходными заданиями 1958-го и 1961 гг. [456, 435], он должен был сосредоточиться на производстве химбоеприпасов в наполнении советским V-газом (в секретных документах его стали называть веществом «33») со сроком ввода в действие в 1968 г. То же задание получил и будущий химкомбинат в Павлодаре (Казахстан), хотя до реального выпуска там дело не дошло (в 1990 г., определенном в качестве срока пуска комбината, страна интересовалась совсем иными делами: она радовалась, в частности, что на пленуме ЦК КПСС в Политбюро не был избран Е. К. Лигачев после известного заявления, что ему «чертовски хочется работать», да и отказ на том пленуме от однопартийной системы еще многим памятен).

С производством V-газа в Новочебоксарске дела пошли на лад не сразу. После 1968 г. [438] следующим сроком ввода цеха № 83 по выпуску V-газа был 1970 г. [118]. И он оказался нереальным, так что фактически промышленный выпуск советского V-газа на ПО «Химпром» в Новочебоксарске был начат лишь в 1972 г. Хотя и тогда цеха были пущены по временной схеме — пожар 1974 г. в одном из недостроенных цехов тому пример [38, 40, 49]. Поначалу химические боеприпасы наполнялись V-газом на трех линиях снаряжения. В 1983–1986 гг. были выполнены работы по строительству второй очереди производства [759].

Советский V-газ из-за его высокой способности отравлять людей через кожу планировался к использованию в химических боеприпасах дистанционного действия. При разрыве боеприпаса в нужном месте образуется грубодисперсный аэрозоль, причем от размера частиц зависит и токсический эффект, и скорость оседания из воздушного потока, и, соответственно, характер распределения ОВ на заражаемой площади. В частности, для артиллерийских снарядов средний размер частиц аэрозоля V-газа должен быть порядка 120–150 мкм, а оптимальная высота разрыва над поверхностью земли — 10–20 м. Для более крупных химбоеприпасов (головных частей ракет, ВАПов) высота разрыва должна составлять 800–1200 м, а капли — иметь диаметр 400–600 мкм, с тем чтобы они легли на грунт в заданном районе, а не разлетались по округе. При этом частицы крупных размеров оседают на поверхность в 1–10 км от места разрыва или выброса, а мелкие — в 20 км [8].

Военным представлялось важным применение V-газов по крупным целям в глубине боевых порядков вероятного противника. При этом в силу свойств ОВ потери в людях ожидались много большими, чем от зарина. Это обстоятельство, соответственно, определяло и типаж химических боеприпасов, которые были разработаны и партии которых были заказаны в промышленности.

В первую очередь военные обратились к возможностям ракет и дальней авиации. Вязким советским V-газом стали наполнять химические боеголовки, которые предназначались для оснащения мобильных оперативно-тактических баллистических ракет Р-17 (SCUD-B) класса «земля — земля» (калибр 880 мм, количество ОВ в одной боеголовке — 550 кг). Обычным V-газом были наполнены боеголовки мобильных тактических баллистических ракет Р-70 («Луна-М») класса «земля — земля» (калибр 540 мм, в одной боеголовке 216 кг ОВ). Им же наполняли кассетные боеголовки мобильных тактических ракет «Точка-У» (SS-21) класса «земля — земля» (калибр 650 мм; в одной кассете — 65 элементов; всего в боеголовке 60 кг ОВ). V-газом наполняли и боевые части двух крылатых ракет Х-22, которые были предназначены для запуска на дальние расстояния с борта стратегических бомбардировщиков ТУ-22М (в одной 432 кг ОВ, в другой — 572 кг). Особенно военные гордились и прятали от любопытствующих глаз вероятного противника свои «устройства для выливания». Это контейнеры (баки), которые должны были помещаться в головные части стратегических ракет для отправки в полет на очень дальние расстояния. В одном из них (выпуска 1975–1981 гг.) залито по 1895,6 кг V-газа, в другом (1982–1986 гг.) — по 1945 кг [760–762].

Советским V-газом наполняли также и различный типаж химических боеприпасов авиации и артиллерии. В частности, до наших дней сохранились большие запасы авиахимбомб калибра 150, 250 и 500 кг, а также ВАПов калибра 500 кг [760–762]. Кроме того, до наших дней остались некрупные партии химснарядов ствольной артиллерии калибра 130 мм и головных частей реактивных снарядов калибра 122 мм для установок «Град». В свое время проблема сохранения герметичности снарядов калибра 130 мм после заливки туда советского V-газа доставила разработчикам немало хлопот [722].

Логическим продолжением истории советского V-газа было обнаружение возможности его боевого применения в бинарной форме [42, 763]. Вот как выглядела эта пара нетоксичных (или малотоксичных) химических веществ:

CH3-P(O)(CN)-OCH2CH(CH3)2 + HS-CH2CH2-N(CH2CH3)2

Для военных особенно привлекательным было то, что в полете к вероятному противнику два приведенных нетоксичных вещества в ходе быстрой химической реакции непосредственно в боеприпасе образовывали два высокотоксичных ОВ — советский V-газ и синильную кислоту в придачу. Нашла эту возможность боевого использования советского V-газа в бинарной форме скромная женщина-химик из филиала ГСНИИОХТ в Вольске. Как водится, значками лауреатов Ленинской и Государственной премий за практическую реализацию той идеи в апреле 1991 г. были увенчаны совсем иные лица [764].

Более 800 000 книг и аудиокниг! 📚

Получи 2 месяца Литрес Подписки в подарок и наслаждайся неограниченным чтением

ПОЛУЧИТЬ ПОДАРОК