Пыль
Хиви НАСА. А вот еще вопрос:
– Под лунным модулем должна быть огромная воронка. Судя по фильму и фотографиям, ни камешка, ни песка, ни пылинки не вылетело из-под двигателя лунной платформы тягой в безвоздушном пространстве 4530 кгс. Но когда в конце фильма показан старт с Луны лунной кабины какого-то следующего «Аполлона», стартующего со своей металлической платформы, то от струи двигателя тягой 1590 кгс полетели вверх с огромной скоростью камни, на глаз не менее чем в 20–50 кг. Сказать нечего – кино!
«Не верю!» – На самом-то деле все было с точностью до наоборот. Судя по фильмам, фотографиям и докладам астронавтов, пыль при посадке лунной кабины летела вовсю, хотя тяги двигателя этой кабины, к тому же работающего «в четверть силы», явно не хватало, чтобы вырыть яму в грунте. И никаких камней не летело и не могло лететь при старте лунной кабины с Луны – хотя бы потому, что этим камням неоткуда было взяться.
Теперь – по пунктам и подробно.
О том, что двигатель лунного модуля при посадке поднимет пыль, предполагали задолго до полетов «Аполлонов». Впрочем, о пыли, летящей из-под садящегося лунного модуля, на Земле стало достоверно известно опять-таки ранее посадки «Аполлона-11» – ранее примерно на полминуты:
102:45:08 Олдрин: 60 футов [высоты], вниз 2 с половиной [фута в секунду]. 2 [фута в секунду] вперед. 2 вперед. Это хорошо.
102:45:17 Олдрин: 40 футов, вниз 2 с половиной. Взбиваем пыль.
102:45:21 Олдрин: 30 футов, 2 с половиной вниз. [Неразборчиво] тень.
102:45:25 Олдрин: 4 вперед. 4 вперед. Немного смещаемся вправо. 20 футов, вниз – половина [фута в секунду].
102:45:31 Дьюк (в Хьюстоне): 30 секунд [до «Bingo» – сигнала, предупреждающего об окончании топлива].
102:45:32 Олдрин: Чуть-чуть перемещаемся вперед; это хорошо. [Неразборчиво] [Пауза]
102:45:40 Олдрин: Сигнал контакта. [Щупы, свисающие с посадочных опор вниз на 170 сантиметров, коснулись поверхности Луны.]
102:45:43 Армстронг: Выключение двигателя.
102:45:44 Олдрин: О’кей. Стоп, машина.
102:45:45 Олдрин: Ручка управления ориентацией – не в нейтрали.
102:45:46 Армстронг: Не в нейтрали. Авторежим.
102:45:47 Олдрин: Режимы управления – оба «авто». Приоритет управления посадочным двигателем – выключен. Двигатель – выключен. Адрес 413 – введен.
102:45:57 Дьюк (в Хьюстоне): Мы следим, как вы садитесь, «Орел».
102:45:58 Армстронг: Двигатель выключен. [Пауза.] Хьюстон, говорит Море Спокойствия. «Орел» сел.
102:46:06 Дьюк (в Хьюстоне) [С облегчением в голосе]: Вас понял, Море Ско… [поправляет себя] Спокойствия. Подтверждаю получение сообщения о вашей посадке. Вы тут заставили многих чуть ли не позеленеть от страха. Теперь можно вздохнуть спокойно. Спасибо громадное!
102:46:16 Олдрин: Благодарим вас.
Во время посадки астронавтам было некогда вдаваться в подробности, но после возвращения на Землю Армстронг рассказал, что пыль серьезно мешала управлению кораблем:
«Я впервые заметил, что мы потревожили пыль на поверхности, когда мы были ниже ста футов; мы начали создавать прозрачный слой движущейся пыли, который несколько ухудшил видимость. По мере спуска видимость продолжала ухудшаться. Не думаю, что пыль сильно мешала визуальному определению высоты; однако меня смутило то, что было трудно определить горизонтальную скорость и скорость снижения, так как перед глазами было много движущейся пыли и приходилось смотреть сквозь пыль, чтобы поймать взглядом неподвижные камни как основу для зрительных оценок. Я нашел это достаточно трудным. Я потратил на то, чтобы погасить горизонтальную скорость, больше времени, чем мог предположить».
Погасить перед посадкой горизонтальную скорость лунного модуля было необходимо: в противном случае он мог опрокинуться набок в момент посадки.
А при посадке следующего корабля – «Аполлона-12» – пыль создала куда более серьезные затруднения. Она столь сильно ухудшила видимость, что уже через минуту после посадки командир корабля Чарльз Конрад передал на Землю: «Ну, Хьюстон, доложу я вам… Похоже, мы попали в куда более пыльное место, чем Нейл. Хорошо, что у нас был тренажер, – это была посадка по приборам». После полета Конрад рассказывал:
«Когда я погасил горизонтальную скорость на высоте 300 футов, мы подняли громадное количество пыли – гораздо больше того, что я ожидал. Это выглядело куда хуже, чем на виденном мною фильме о посадке Нейла. Мне показалось, что пыль поднялась куда выше, чем у Нейла. Возможно, так случилось потому, что мы зависли выше над поверхностью и снижались вертикально. Не знаю точно. Но мы подняли пыль, находясь, наверно, на 300 футах, как я говорил. Я мог видеть сквозь пыль большие камни, но пыль поднялась во все стороны настолько далеко, насколько я мог видеть, и полностью скрыла из виду ямы и все остальное. Я знал лишь то, что под пылью была твердая поверхность. Пыль не мешала определить горизонтальную (вперед или назад) и боковую (влево или вправо) скорости, но я не мог видеть, что находится подо мной. Я знал лишь, что район в целом неплохой, и мог лишь стиснуть зубы и садиться, так как не мог сказать, есть ли внизу кратер или нет. […] В конце концов пыль стала такой сильной, что я абсолютно не мог определить крен аппарата, глядя в окно на лунный горизонт. Мне пришлось пользоваться гирогоризонтом. Я допускал крен до 10 градусов, пока глядел в окно, чтобы удостовериться, что горизонтальная и боковая скорости по-прежнему нулевые».
Пыль мешала и «Аполлону-15». Его командир Дэвид Скотт сажал корабль практически полностью по приборам, не видя поверхности.
Струи пыли, разлетающиеся из-под двигателя перед посадкой – этакие «танцующие белые иглы», – прекрасно видны на кинопленке. Их можно наблюдать на эпизодах посадки всех «Аполлонов», когда астронавты снимали через иллюминатор приближающуюся лунную поверхность. Особенно хорошо пыль заметна в фильме, снятом астронавтами «Аполлона-16», – прекрасно видны и пылевые струи, и нерезкие очертания тени лунного модуля на пылевом слое, и то, как под слоем поднятой пыли скрываются детали поверхности. Фрагмент этого фильма находится по адресу history.nasa.gov/40thann/mpeg/ap16_landing.mpg (4 Мбайта). Ниже приведено несколько кадров из этого видеофрагмента (рис. 91 и 92).

Рис. 91 и 92
Струи пыли, выбиваемые двигателем (идут из левого нижнего угла изображения). Слой движущейся пыли скрывает детали лунной поверхности и делает контуры тени от лунного модуля расплывчатыми (рис. 93 и 94).

Рис. 93 и 94
На левом кадре на миг показался небольшой кратер (или камень?) в правом нижнем углу кадра, но тут же снова исчез под слоем движущейся пыли (рис. 95 и 96).

Рис. 95 и 96
Непосредственно перед выключением двигателя в кадре видно только полностью скрывшее лунную поверхность облако поднятой двигателем пыли, на котором – очень расплывчатая тень от лунного модуля. После выключения двигателя пыль быстро оседает, и становится видна лунная поверхность, а тень от лунного модуля становится резко очерченной.
Ю.И. МУХИН. Должен заметить, что все эти страшные рассказы о большой пыли, которая якобы поднялась за 30 секунд до посадки «Аполлона-11», нужно было придумать еще до съемок фильма в Голливуде, чтобы Стенли Кубрик смог эту пыль изобразить. А то ведь в фильме камера показывает при спуске абсолютно чистую поверхность Луны, а пыль начинает лететь только за 2–3 секунды до посадки. А то, что на сегодня насовцы досняли необходимые кадры и разместили их в Интернете, это похвально, и за это им спасибо, но, понимаете ли, поздно. Раньше надо было думать.
Хиви НАСА. Теперь – о кратере, который должен был образоваться под посадочной ступенью. А собственно, с чего бы там быть кратеру? Только из-за того, что в грунт ударяет газовая струя от зависшего над грунтом аппарата? Это бывает и на Земле – когда самолет с вертикальным взлетом и посадкой (например, английский «Харриер» или советский «Як-38») садится на грунт или взлетает с него (рис. 97). Тяга двигателя «Харриера» – 10 тонн, вдвое больше максимальной тяги двигателя лунной кабины. А как мы сейчас увидим, фактическая тяга двигателя лунной кабины в момент посадки раза в четыре меньше его максимальной тяги, так что тяга двигателя «Харриера» при вертикальной посадке больше тяги посадочного двигателя «Аполлона» на порядок. Но «Харриер» не оставляет в грунте заметных ям – хотя пыль, конечно, стоит столбом.

Рис. 97
Ю.И. МУХИН. Это, надо сказать, очень убедительный довод, мы ведь каждый день ходим смотреть, какие следы оставляют в грунте двигатели «Харриера» и «Як-38», а также какие ямы выбивают в бетонном основании и в земле двигатели стартующих зенитных и тактических ракет (рис. 98), которые по весу в несколько раз меньше «Харриера» и «Як-38».

Рис. 98
Хиви НАСА. Поговорим о тяге двигателя посадочной ступени. Действительно, его максимальная тяга составляет 4530 кГс. Но «в полную силу» этот двигатель работает только при переходе с окололунной орбиты на траекторию снижения, когда надо изменить скорость лунного корабля на значительную величину. А при маневрировании вблизи поверхности и при посадке двигатель работает в режиме малой тяги, в котором его тяга изменяется в пределах 10–65 % от максимальной.
Непосредственно перед посадкой двигатель развивает тягу в несколько раз меньше максимальной – он всего лишь компенсирует вес посадочного модуля, чтобы тот не упал. Масса посадочного модуля – 15 065 кг, его вес на Луне – 15 065 кг ? 1,62 м/с2 = 24 405,3 Н ~=2440 кгс. А если учесть, что в момент подхода к самой поверхности Луны почти все топливо посадочной ступени, которое имеет массу 8217 кг, уже израсходовано, то тяга получается примерно (15 065 – 8217) кг ? 1,62 м/с2 = 11 093,76 Н ~= 1109 кгс – в четыре с лишним раза меньше максимальной.
Подсчитаем давление на лунный грунт, которое создает вытекающая из двигателя газовая струя. Силу давления мы уже знаем – она равна весу лунного модуля в момент посадки, т. е. примерно 1100 кг. Диаметр сопла двигателя составлял 137 сантиметров, а его площадь – 14 775 см2.
Будем считать, что газовая струя, выходящая из двигателя, не расширяется в стороны, т. е. площадь соприкосновения ее с лунной поверхностью такая же. Разделив 1100 кг на 14 775 см2, получим, что давление составляло менее одной десятой атмосферы – вполне достаточно, чтобы сдуть пыль из-под двигателя, но явно маловато для того, чтобы вырыть кратер – особенно в лунном грунте. Этот грунт достаточно твердый: Армстронг и Олдрин не сумели как следует воткнуть в него флагшток.
Нами приведена фотография NASA AS11-40-5921 (www.hq.nasa.gov/office/pao/History/alsj/a11/as11-405921.jpg) – вид лунной поверхности под посадочной ступенью «Аполлона-11» (рис. 99) – и ее фрагмент крупным планом (рис. 100). Четко видны последствия воздействия газовой струи на грунт. В полном соответствии с нашими расчетами, никакого кратера под двигателем нет, но пыль непосредственно под двигателем сдута практически полностью, а вокруг – частично.

Рис. 99, 100
Ю.И. МУХИН. К специалистам, написавшим это, естественно, возникает несколько вопросов.
Во-первых. Фотографии со сдутой из-под двигателя пылью надо было делать в 1969 году, а не в 2003-м. На всех старых фото грунт под спускаемыми аппаратами не тронут (рис. 101).

Рис. 101
Во-вторых. А что это там, под соплом, обнажилось под сдутым грунтом? Бетонный пол съемочного павильона?
В-третьих. Это откуда взято, что грунт на Луне твердый, если подошвы астронавтов погрузились в него на 2–3 см, а то и глубже? Посмотрите на собственное фото в разделе «Следы» (рис. 102).

Рис. 102. Обратите внимание, на какую глубину Олдрин проваливается в пыль
В-четвертых. Это в связи с чем, «в полном соответствии с нашими расчетами, никакого кратера под двигателем нет», если вы размеры этого кратера и не брались рассчитывать? Кратер-то образуется от выноса грунта реактивной струей, а не от давления на него. К чему прикидываться дурачками и рассчитывать это давление, если чуть выше Армстронг уверял, что пыль начала подниматься (а не прессоваться!) при спуске ниже 30 м? Но, раз речь идет о выносе пыли реактивной струей, так и считайте этот вынос, специалисты хреновы!
Тут кстати будет привести то, что написал по этому поводу и хиви НАСА А. Марков: «В конечную фазу прилунения (зависание над поверхностью) летательный аппарат переходит над выбранной «посадочной площадкой». Оптимальная высота этого режима 8—10 м от поверхности до центра масс LM. Лунный модуль «Орел» миссии «Apollo-11», имея средний расход топлива при посадке (при плавно изменяемой тяге двигателя на минимальную) –10—5 кг/сек, опускался на поверхность в режиме зависания –5 секунд и еще 0,9 секунды двигатель работал уже у ставшего на грунт LM.
Какую работу в течение 6 секунд произведут продукты выхлопа (-40 кг топлива) камеры сгорания ЖРД, регулируемой к минимуму (R = 450 кг) реактивной тяги, вылетающие из конусного сопла диаметром 1,5 м, опускающегося на поверхность с высоты – 5,5–0,5 м?» – задал коварный вопрос большой специалист космической техники, но так и не ответил на него. (Хотя, собственно, что мы должны ожидать от человека, которого в школе не сумели обучить определению угла прямоугольного треугольника по двум катетам?)
Придется мне, бывшему металлургу, этим заняться, благо хиви привели необходимые данные для расчета. Итак.
Если бы посадочный модуль просто упал на Луну с высоты своего зависания над ней, то он совершил бы работу, равную своему весу, умноженному на высоту падения. Вес модуля округлим до 1200 кгс, поскольку на высоте зависания еще не все топливо было выработано, а высоту зависания дал хиви Марков – 5,5 м от опор до поверхности Луны. Итого, работа падения будет 1200 ? 5,5 = 6600 кгс м.
С этой высоты модуль падал бы 2,6 сек. При этом средняя мощность его падения была бы: 6600 / 2,6 = 2538 кгс м/сек. Но он спускался на реактивной струе двигателя и спускался 6 секунд, как утверждает Марков. Следовательно, средняя мощность спуска была: 6600 / 6 = 1100 кГс м/сек. До этой мощности мощность падения снизила мощность двигателя модуля, соответственно она в среднем была равна: 2538–1100 = 1438 кгс м/сек. Работая 6 секунд, двигатель совершил работу: 1438 ? 6 = 8630 кгс м.
И хотя Армстронг «вспоминает», что пыль от работы двигателя стало выносить с высоты 30 метров, но давайте не будем жадничать и будем считать, что лишь половина этой работы, то есть 4315 кгс, пошла на вынос грунта из-под «Аполлона-11», а остальная работа пошла на расширение газовой струи в вакууме.
Используя данные исследований грунта «Луны-16»[112], я сначала рассчитал среднюю плотность частиц реголита, считая их сферами. Получилось 1,88 мг/мм3. Это меньше, чем плотность базальта (2,9–3,0), но ведь частицы реголита на самом деле не сферы. Однако я и дальше буду считать их сферами, поэтому тут ошибки в расчете не будет.
По тем же данным[113]. Средняя частица реголита на глубине в 30 см имеет размер 0,114 мм. Считая и ее сферой, я нашел, что ее массу следует оценить в 0,0014 мг, а площадь поперечного сечения – в 0,01 мм2.
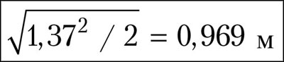
Считаем для простоты, что газовая струя из сопла проникает в реголит и по окружности сопла (диаметр – 1,37 м) создает зону со средним давлением, как подсчитали хиви: 1100 / 4775 = 0,074 кгс/см2 или 0,74 гс/мм2.
Проникшие в площади этого круга в реголит газы будут расширяться в горизонтальном направлении, толкая перед собой частицы реголита. Сила, с которой они будут это делать, будет равна разнице давлений перед частицей и за ней. Если смотреть от центра струи, то удельное давление перед частицей будет обратно пропорционально площади фронта давления перед ней, а за частицей – фронта давления за ней. Средневзвешенный диаметр внутри струи газов (такой, который делит ее сечение на две равные по площади части) будет равен:

или 969 мм. Считаем, что при расчете средних значений это диаметр фронта давления за частицей. Диаметр фронта перед частицей будет больше на два диаметра частицы, т. е. на 2 ? 0,114 = 0,228 мм. Это число увеличит внешний фронт по отношению к внутреннему на 0,228 / 969 ? 100 = 0,024 %. Соответственно сила, которая давит на частицы в пределах средневзвешенного радиуса, будет равна: 0,74 гс/мм2 ? 0,00024 = 0,00018 гс/мм2 или 0,18 мгс/мм2. Соответственно, на среднюю частицу с поперечным сечением в 0,01 мм2 будет давить сила в 0,0018 мгс.
Эта сила придаст частице ускорение, равное ее отношению к массе средней частицы: 0,0018 мгс / 0,0014 мг = 1,3 м/сек2. Давайте примем (теперь уж без этого не обойтись), что грунт выносился с площади с радиусом, примерно равным двойному радиусу сопла, т. е. с круга диаметром 3 м, и средняя частица под воздействием рассчитанной нами в среднем силы пролетала в среднем же 0,75 м. При ускорении 1,3 м/сек2 ей на это требовалось 1,1 сек. Тогда средняя скорость, с которой средняя частица выносилась из грунта струей двигателя «Аполлона-11», была равна 1,3 ? 1,1 = 1,4 м/сек.
Рассчитанная нами ранее работа в 4315 кгс перешла в кинетическую энергию частиц грунта, и при средней скорости 1,4 м/сек она вынесла из-под «Аполлона-11»: 4315 ? 2 / 1,42 = 4403 кг (4,4 т) грунта. При его насыпной плотности 1,9 т/м3 это составит: 4,4 / 1,9 = 2,3 м3.
Круг диаметром 3 м имеет площадь примерно в 7,1 м2. Объем конуса равен произведению площади его основания на одну треть высоты. Отсюда глубина конуса выноса грунта под соплом «Аполлона-11» оценивается в 3 ? 4,4 / 7,1 = 1,9 м. Где эта яма на фотографиях? Покажите ее мне!
Я не претендую на то, чтобы этому методу расчета обучали студентов, но за 35 лет этих споров и восторженных воплей наших космических балбесов по поводу «великой победы американцев» мог найтись хоть один специалист, который выполнил бы подобный расчет вместо меня, редактора «Дуэли»?
А не посылал бы нас смотреть следы от взлета «Харриеров» или «Як-38». Такое впечатление, что наши «специалисты в области космоса» без помощи НАСА могут рассчитать только свою зарплату, включая кандидатские и докторские надбавки, да балабонить о том, смысла чего они не понимают.
Более 800 000 книг и аудиокниг! 📚
Получи 2 месяца Литрес Подписки в подарок и наслаждайся неограниченным чтением
ПОЛУЧИТЬ ПОДАРОК