Совпадение волн активности и скоростей изменений
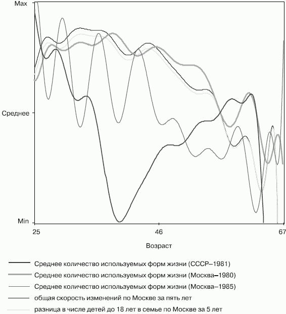
На следующем графике (рис.2.10) показаны пять линий, которые представлены средними по каждому возрасту в табл. 2.15. Уже здесь наблюдается принципиальное сходство волны суммарной возрастной активности в рамках Всесоюзного исследования 1981 г., московских массивов 1980 и 1985 гг. Общество остается в стабильном состоянии, но волна, полученная разностью между количеством форм активности у человека в пятилетний период, фиксируемых у одних и тех же людей в 1980 и 1985 гг., неуклонно падает. Это та же волна, что и на рис. 2.9, но на попарных возрастах и со степенью приближения 0,9992. Кроме того, характерной особенностью является график изменения разницы числа детей, которая снижается до предела к 40 годам и повышается с появлением в семьях внуков. При этом, учитывая повышение рождаемости среди москвичей в молодых когортах в начале 1980-х годов, мы должны были бы наблюдать одинаковые уровни волны появления в семьях детей у младших когорт и внуков у старших. Однако волна в старших возрастах идет ниже, что может свидетельствовать о процессе распада трехпоколенных семей, отделения детей от родителей в самостоятельные семьи и по ряду социальных причин невозможностью наиболее эффективного использования ресурса времени в полной, трехпоколенной семье.

Рис. 2.10. Распределение показателя социальной активности по возрастам от 25 до 67 лет во Всесоюзном исследовании образа жизни 1981 г., в лонгитюдном исследовании москвичей в 1980-85 гг., а также скорости изменения общей активности и детности 1980-85 гг. (шкала возраста попарная; на данных табл. 2.15 колонки 1-5, средние нормированы)
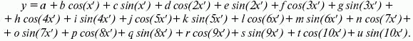
Table Curve 2D дает по кривым первым номером полином Фурье с приближением (r2) 0,9038 по волне скорости изменений в целом; 0,9992 по общей активности по СССР; 0,9907 по Москве 1980 г.; 0,9660 по Москве 1985 г. и 0,9868 по изменениям детности (при x' = от 0 до ?):

И график, и таблица в общем и деталях говорят о следующем.
1. Надежность данных. Коэффициент корреляции рангов Пирсона равен +0,919 по волне возрастной активности СССР в 1981 г. и Москве 1985 г. (кривые 1 и 3). Он же составляет +0,868 по волнам возрастной активности москвичей 1980 и 1985 гг. (кривые 2 и 3) и +0,701 по волне скорости изменений за 5 лет и конечной активности москвичей (кривые 4 и 3). Волна стартовой активности дает коэффициент взаимной сопряженности с волной изменений +0,265 (кривые 4 и 2). Таким образом, как и в случае с ценностями при внешней стабильности структуры, все движется к конечным точкам движения, которые стимулируют его (волна движения коррелирует с конечным, а не исходным пунктом при тождественности структур обоих пунктов). Совпадение волн возрастной активности в Москве 1985 г. и СССР 1981 г., высокая корреляция волны изменений в Москве к 1985 г. с возрастной активностью по СССР в 1981 г., равная +0,675 (кривые 4 и 1) позволяет предположить, что регион двигался в сторону состояния всей страны, но уточняющих деталей мы не имеем. Сходство же процессов на массивах (перевзвешенном на генсовокупность, и лонгитюдном) очевидно уже не только по показателям жизненных представлений (ценностей), но и по параметрам активности.
2. Синхронность волн состояний параметров активности за счет совпадения частот и амплитуд этих волн по возрастам сопровождается асинхронностью этих волн по отношению к детности: волна детности дает – 0,141 со стартовой активностью 1980 г. (кривые 5 и 2), +0,004 с финишной активностью 1985 г. (кривые 5 и 3), – 0,214 с погодовой волной скорости изменения объема досуга (колонки 5 и 7 табл. 2.15), – 0,346 с погодовой волной скорости изменения объема включенности в сферы информационной и общественно-политической деятельности (колонки 5 и 10 табл. 2.15). Последнее подтверждает анализом подвижных волн то, что было зафиксировано и показано в первой главе на структурах активности двух подсистем в статических картинах. Отрицательная связь волны «детности» и волны изменений объема досуга на возрастной шкале подтверждает также и вывод из анализа ценностных представлений о том, что формы досуга служат своего рода резервуарами времени, демпфирующими его социальный дисбаланс. В добавление последние данные подсказывают, что динамика ценностных представлений коррелируют с объективными изменениями действительности. Кроме того, следует сделать вывод, что наиболее сильно с нормами малодетности, выраженными в поведении, связана включенность в наиболее массовидные формы процессов духовного производства. Об этом без указания на детали и причины говорит отрицательная связь амплитуд и частоты волн изменений соответствующих подсистем на возрастной шкале.
3. Общая масса деятельности уменьшилась на 3,6 % – это видно по средним. Во всех подсистемах деятельности и жизненных представлений (ценностей, оценок важности видов деятельности и планов на будущее) скорости изменений чуть ниже нулевого баланса, кроме скорости изменения уровня достатка. Число потребительных стоимостей на душу населения Москвы чуть выросло (колонка 6 табл. 2.15). Все это говорит, во-первых, о том, что основным стимулом деятельности является «достаток», а во-вторых, – что общество медленно меняет предметно-институциональную основу деятельности, выскальзывая из существующих в какие-то другие формы, для исследования которых, как мы сказали, уже в то время надо было подыскивать новый инструмент.
4. Асинхронность волн изменений на возрастной шкале подсказывает, что, сопоставляя (коррелируя на возрастной шкале) волны изменений в различных подсистемах деятельности, можно найти подсистемы, близкие и далекие по дисбалансу времени, а значит, пространственному положению в социуме.
Более 800 000 книг и аудиокниг! 📚
Получи 2 месяца Литрес Подписки в подарок и наслаждайся неограниченным чтением
ПОЛУЧИТЬ ПОДАРОК