Приложение 2 Протоколы к основным фигурам трехмерных проекций


В разделе «Date» протокол показывает, что по всем 768 респондентам (точкам) эмпирически полученное значение «Z» совпадает с теоретически предсказываемой частотой, а это значит, что все эмпирически полученные в замере результаты ложатся на поверхность приведенной в трехмерной графике «параболы».


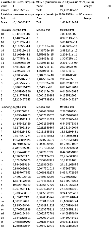
В разделе «Date» протокол показывает, что из 768 документов лишь у 18 (что составляет 2,34 % массива) эмпирически полученное значение «Z» не попадает в 95 % предсказанный интервал; таким образом, 97,66 % эмпирически полученные в замере результатов четко ложатся на поверхность приведенной в трехмерной графике «гауссианы». Ниже приводится данные по 18 документам.




В разделе «Date» протокол показывает, что по всем 768 людям эмпирически полученное значение «Z» совпадает с теоретически предсказываемой частотой, а значит, по замеру суммарных изменений все респонденты со 100% вероятностью попадают в соответствующие группы перехода, т. е. все «точки» ложатся на полученную в трехмерной графике замкнутую фигуру.


В разделе «Date» протокол показывает, что по всем 768 людям эмпирически полученное значение «Z» совпадает с теоретически предсказываемой частотой, т. е. все «точки» из 768 100 %-но ложатся на полученную в трехмерной графике фигуру.




В разделе «Date» протокол показывает, что из 768 документов лишь у 29 (3,77 % массива) эмпирически полученное значение «Z» не попадает в 95% предсказанный интервал; таким образом, 96,23 % эмпирически полученные в замере результатов четко ложатся на поверхность приведенной в трехмерной графике фигуры. Ниже приводится данные по 29 документам.

Более 800 000 книг и аудиокниг! 📚
Получи 2 месяца Литрес Подписки в подарок и наслаждайся неограниченным чтением
ПОЛУЧИТЬ ПОДАРОК